Del OFICIAL 2010:
2010-122
122. Un reloj de péndulo de cobre funciona correctamente
a 15ºC. Sabiendo que si el reloj funciona
en un lugar cuya temperatura es 86ºF se
retrasa 15 s cada día. ¿Cuál es el coeficiente de
dilatación del cobre?:
1. 10·10-5 ºC-1.
2. 13·10-2 ºC-1.
3. 10·10-6 ºC.
4. 10·10-3 ºC-1.
5. 13·10-6 ºC-1.
2010-165
165. Una puerta lógica que tiene un consumo en
régimen estático de 10 mW, si con su salida en
estado alto tiene un consumo de 7,5 mW. ¿Cuál
es el consumo de dicha puerta con su salida en
estado bajo?:
1. 5 mW.
2. 15 mW.
3. 7,5 mW.
4. 12,5 mW.
5. 10 mW.
2010-226
226. La transición rotacional de J=0 a J=1 de la
molécula de CO ocurre a 1.15·1011 Hz. Calcular
la longitud del enlace de la molécula:
1. 2.57 nm.
2. 0.113 nm.
3. 4.61·10-10 m.
4. 9.3 nm.
5. 0.72 nm.
2010-173
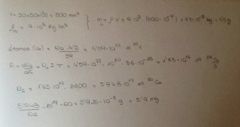
173. Una lámina de 59Co de 50x50x0,2 mm3 se expone
a flujo de neutrones térmicos de 1020 (m2.s)-1
normal a su superficie. La sección eficaz de
captura de estos neutrones por el núcleo es de
36 barns. ¿Qué cantidad de 60Co se tendrá en
lámina después de 1 h.?:
Datos: Densidad del Co=9x103 kg/m3; peso molecular
del Co 59 g; número de Avogadro
6,02x1023 at/mol; 1 barn=10-28 m2; 1 uam (unidad
atómica de masa)=1,7x10-27 kg.
1. 1,60 g.
2. 6,1 mg.
3. 97 mg.
4. 326 mg.
5. 0,61 g.
Del OFICIAL 2011
135. ¿Cuál es la energía de retroceso del átomo de
tecnecio como resultado de la emisión de un
fotón en la transición isómera
mTc 99 Tc
43
99
43 ? Datos: energía de emisión
del fotón 140 keV; masa 99mTc
43 =92130.7
MeV/c2:
1. 200 eV.
2. 0.11 eV.
3. 120 eV.
4. 1.1 keV.
5. 0.14 MeV.
251. Un volante tiene un momento de inercia de 3.8
kgm2. ¿Qué momento constante se requiere
para aumentar su frecuencia de 2rev/s a 5 rev/s
en 6 revoluciones?:
1. 38 N·m.
2. 83.6 N·m.
3. 55.7 N·m.
4. 33.4 N·m.
5. 41.8 N·m.
Con esta última, un colega físico y yo tenemos problemas personales!! No entendemos porqué no nos sale!!
Gracias!

