orientado positivamente {|z|=1}.
1. πi
2. -πi
3. 2πi
4. πi/2
5. 2π
Hay preguntas parecidas en exámenes de otros años pero esta no me sale. Help!!!!
Moderador: Alberto

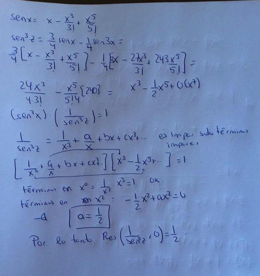
Yo la dejé en blanco por las prisas, pero supongo que tendrás que calcular el residuo en Z=0 y tener en cuenta que es un polo de orden 3. Probaste así?Usuario0410 escribió:223. Resolver la integral \(\int_\gamma \frac{dz}{\sin^3z}\), donde gamma es el círculo
orientado positivamente {|z|=1}.
1. πi
2. -πi
3. 2πi
4. πi/2
5. 2π
Hay preguntas parecidas en exámenes de otros años pero esta no me sale. Help!!!!
![]()
![]()


o a lo mejor me puedes pasar alguna referencia donde venga. La parte que ya he entendido es (=que ya he pillado):dsanchez escribió: el término que va divido por x en un desarrollo de Laurent, es el residuo, que coincide con el residuo de 1/x.
pero en mi carrera hicimos poco desarrollos de Laurent (lo más sencillitos) y el resto me pierdo. Y por último, alguna idea de cómo afecta lo de la segunda derivada?Es un poco intuitivo, viene del hecho de que el producto de una función por su inversa es 1,así por ejemplo como el desarrollo del seno es x +x3, para que el producto con su inversa sea 1 quiere decir que el desarrollo de 1/sinx debe contener el término 1/x,
a la hora del resultado final parece que no influye no?En este caso pensé aplicar lo mismo, pero no llegue a nada por este método por que la derivada es infernal y lo descarte, pero vamos que es una intuición aunque pensándolo bien debajo de la fórmula del residuo hay un un medio maravilloso. Así qué soló puedo decir... Que no tengo ni idea



